Galena Silver Copper Manganese Project
100% INTEREST
8,200 HECTARES
DEPARTMENT OF PUNO, SOUTH-EASTERN PERU
Palamina’s Copper Silver Projects in SE Peru
Galena is located in the Santa Lucia mining district in southeastern Peru. Palamina is fast-tracking drilling to test the potential for Galena to host a silver-copper Carbonate Replacement Deposit (CRD). No drilling has ever been carried out within the Galena claims area.
Overview, Infrastructure & Geology
The Galena Silver Copper Manganese Project was acquired primarily through staking to cover a series of high grade silver copper veins in the historic Santa Rosa mine area. Galena is located 72 km southwest of Juliaca in the department of Puno where Palamina has its regional field office. It benefits from excellent infrastructure with good road access, water resources and a railway line running through the property which connects to the port of Matarani on the Pacific coast.
Nearby polymetallic mines include the Santa Bárbara, Santa Lucía, Berenguela and Tacaza mines. The Galena Project is located southeast of Ivanhoe Electric Inc’s Cu-Au Pinaya project and southwest of Aftermath Silver Ltd’s Ag-Cu-Mn Berenguela project in the Santa Lucia District. Lagos sits at the juncture of the Santa Lucia mining district to the northeast and the Las Bambas copper trend to the northwest.
Manganese is the primary pathfinder element at Galena and at the nearby historic Santa Barbara and Berenguela CRD mines.
Mineralization at Galena occurs as breccias and veins hosted in Tertiary Tacaza formation volcanics overlying the Cretaceous Ayabacas formation limestone which hosts the CRD mineralization at Berenguela. The contact between the Tacaza volcanics and the Ayabacas limestone outcrops near Lake Lagunillas and dips shallowly to the southwest.
Conceptual long section between Berenguela and Galena showing potential for blind CRD mineralization within the limestone contact at Galena
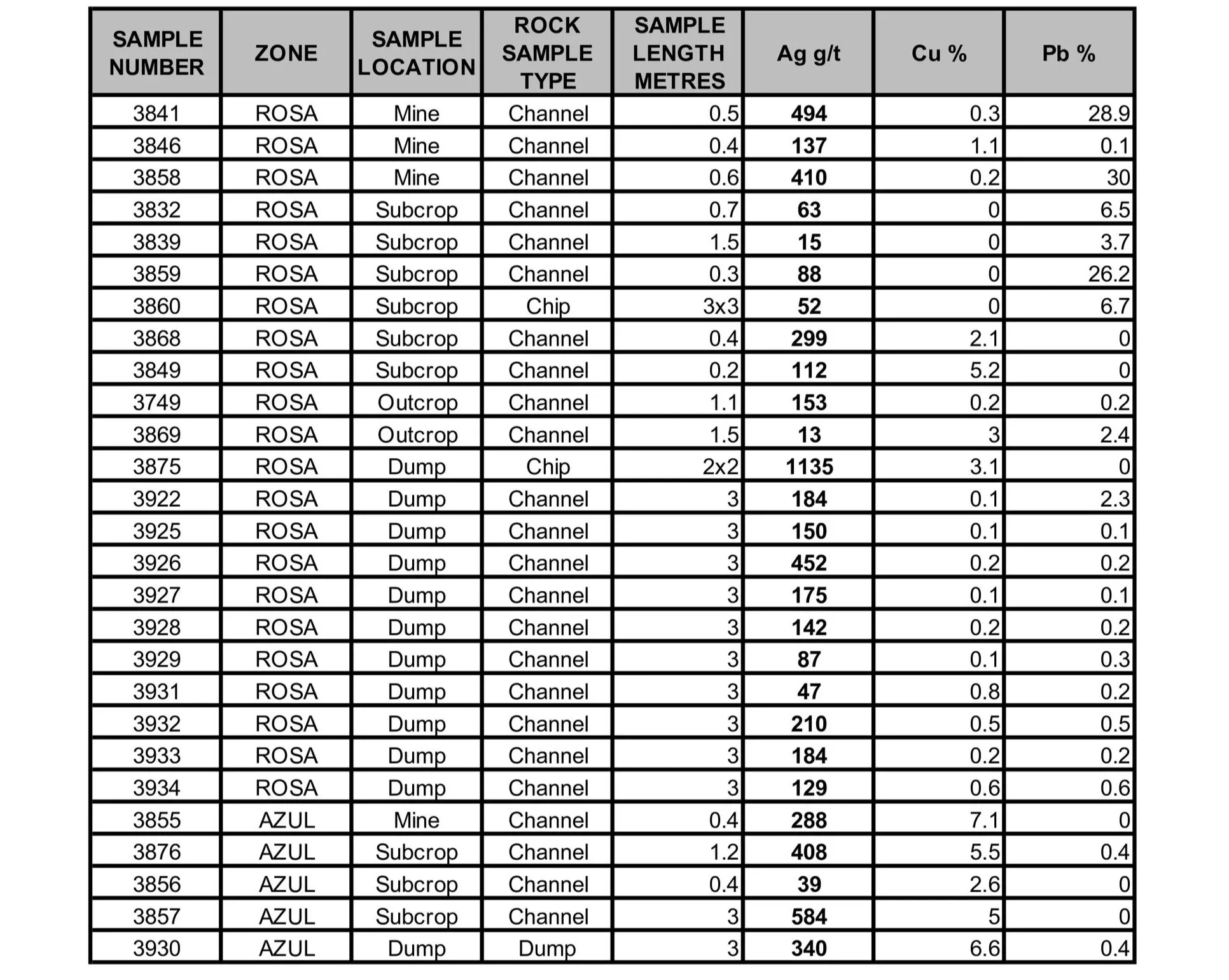
The Rosa and Azul zones, where the Tacaza volcanics are shallowest and closest to the limestone contact zone, previously returned rock sample values up to 1,135 g/t Ag, 5.2% Cu, 0.69% Mn and 584 g/t Ag, 7.1% Cu, 0.47% Mn respectively. Select chip sampling from old mine workings at the Rosa and Azul zones include:
In 2025, Palamina has completed two mapping and soil sampling campaigns using a portable XRF (X-ray fluorescence) analyzer. Manganese is the primary pathfinder element at Galena and at the nearby historic Santa Barbara and Berenguela CRD (“Carbonate Replacement Deposit”) mines. XRF soil sampling has highlighted large geochemical anomalies within outcropping Tertiary aged Tacaza volcanic rocks overlying limestone of the Ayabacas Formation – the host of the CRD mineralization at Berenguela.
XRF Soil sampling coverage showing manganese (Mn) results
XRF Soil sampling coverage showing copper (Cu) results
XRF Soil sampling coverage showing Silver (Ag) results
Palamina intends to drill test the highest priority CRD target areas to locate mineralization similar to the historic Santa Barbara mine and Berenguela deposits.
Sampling from the Verde and Gris zones since 2021 has identified large anomalous zones hosting galena and copper oxide mineralization associated with low temperature alteration assemblages These zones are interpreted to represent possible remobilization of silver rich galena, and copper mineralization source at depth. Select results from mineralized intervals returned results as follows:
*True widths are not known. Assay values range from not detected up to those reported herein.
Silver geochemical map at Galena: Select samples with highest values for each zone.
Copper geochemical map at Galena: Select samples with highest values for each zone
Palamina is carrying out further XRF soil sampling to better define the surface mineralization on the property, and the interpreted blind mineralization at depth. Additional geochemical sampling and a property wide ground gravity survey is also planned to further identify areas where the underlying carbonate sequence may be replaced with sulfides. Once these targeting programs are completed, Palamina intends to drill test the highest priority CRD target areas to locate mineralization similar to the historic Santa Barbara and Berenguela mine deposits.
Gallery
